Sorodno iz bloga

Linearna funkcija
05.06.2024 | Matematika

Naravna števila
23.01.2020 | Matematika

Elipsa
20.12.2019 | Matematika
Deli na družabnih omrežjih

06.12.2019 | Matematika
Kako se izračuna ploščina trikotnika, ste že večkrat delali pri geometriji. Uporabljali ste dolžine stranic in višine in tako izračunali njegovo ploščino. Razlika v tem poglavju je v tem, da je trikotnik umeščen v koordinatni sistem. Torej ga ne prestavljamo več z dožinami stranic, npr.
,
,
itd. ampak povemo koordinate njegovih oglišč.
Kako pa sedaj izračunamo njegovo ploščino?
Recimo, da imamo trikotnik ABC z oglišči
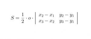
. Lahko pretentamo sestavljalca naloge in s pomočjo razdalje med točkama izračunamo dolžine stranic in nato uporabimo formule iz geometrije, a matematiki so odkrili bistveno lažji način. Odkrili so, da lahko ploščino trikotnika v koordinatnem sistemu izračunamo po spodnji formuli:

kjer
predstavlja orientacijo trikotnika, tisti škatli na desni strani pa se reče determinanta.
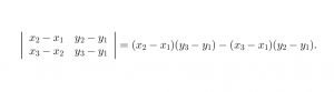
Determinanta je oblika zapisa, s katerim si pomagamo pri računanju ploščine trikotnika. Njeno vrednost določimo po naslednjem pravilu:

(Naj ti prišepnem: znotraj škatle narediš križ-kraž račun. Poglej si v spodnjem video posnetku, kako to izgleda.)
Kako pa določimo orientacijo?
Točke A, B in C si nariši v koordinatni sistem.
Če greš od točke A proti B in nato proti C v smeri urinega kazalca, je
.

Če pa greš v obratni smeri urinega kazalca, pa je
.

Če rabiš videti primer, kako se to reši, si poglej zgornji video posnetek.
Naj ti namignem še en trik, ki ga moraš uporabiti pri nekaterih nalogah.
Če so tri točke kolinearne, torej ležijo na isti premici, boš po zgornji formuli dobil vrednost
.
Velja pa tudi obratno: če boš v zgornjo formulo ustavil koordinate treh točk, za katere ti nobeden prej ni povedal, da so kolinearne, in boš dobil
, boš sedaj z gotovostjo vedel, da ležijo na isti premici.
Poglej si en tak primer naloge v video posnetku.
Skiciramo si trikotnik in ugotovimo njegovo orientacijo. Nato vstavimo koordinate in orientacijo v formulo ter izračunamo.
Koordinate točk vnesemo v formulo za ploščino, ki mora biti enaka
, saj so točke kolinearne. Od tod izračunamo
.
Če rabiš še kakšno dodatno razlago o snovi Ploščina trikotnika v koordinatnem sistemu, se lahko obrneš na naš center za inštrukcije Horizont, kjer ti bomo z veseljem pomagali.
Za razširitev vašega razumevanja geometrijskih oblik in njihovih lastnosti preberite tudi naš članek o ploščini kroga.
Deli na družabnih omrežjih
Prijavi se na e-novice
Sorodno iz bloga

05.06.2024 | Matematika

23.01.2020 | Matematika

20.12.2019 | Matematika
Si iz pravega testa za inštruktorja?
Povej več o sebi tukaj.
041 926 000
Horizont d.o.o.
(SI65826736)
Pohlinova ulica 20
1000 Ljubljana